Zufallszahlen mit vorgegebener Verteilung
    
      - Aufgabenstellung:
        
          - berechne Zufallszahlenfolge Yi mit
            gegebener (diskreter oder kontinuierlicher) Verteilungsfunktion
 
          - genauer: berechnete Folge verhält sich bei
            (vielen) statistischen Tests wie entsprechend verteilte
            Zufallsgröße
 
          - Startpunkt immer berechnete Zufallszahlen Xi
            ~ U(0,1)
 
        
       
      - Grundidee bei diskreter Verteilung:
        
          - gegeben sei Wahrscheinlichkeitsverteilung pk
            = P(Y = ak) 
 
          - zerlege Intervall [0,1] in Strecken Ik der
            Länge pk
            
              - bestimme Wert von Xi ~ U(0,1)
 
              
 
            
           
          - Beispiel
            
              - ai = (2, 4, 6, 8), pi =
                (0.2, 0.5, 0.1, 0.2)
 
              
 
            
           
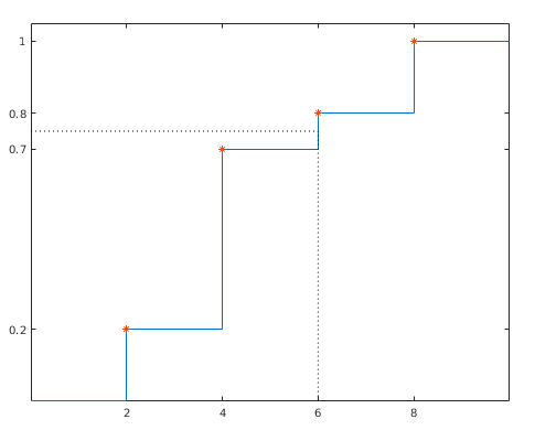
          - Streckenaufteilung geht direkt mit der kumulativen
            Verteilungsfunktion F(a) = P(X ≤ a)
            
              
 
              - damit: Yi = F-1(Xi)
 
            
           
        
       
      - Implementation in Matlab:
        
          - Definition der Verteilung
            
              - a = [2, 4, 6, 8];
                  p = [0.2, 0.5, 0.1, 0.2];
                  F = cumsum(p)     % -> [0.2, 0.7, 0.8,
                  1.0] 
            
           
          - berechnen von Y
            
              - X = rand
                  idx = find(F>X, 1)
                  Y = a(idx)  
            
           
          - find klappt nicht ganz so
            einfach für X Vektor
            
              - quick and dirty: Schleife
 
              - Verteilung damit bei 100 Werten
 
              
 
            
           
          - erhaltene Anzahlen
            
              - 
                
              
 
              - ist das ok? vgl. Testtheorie
 
            
           
        
       
      - Verbesserungen:
        
          - Grundverfahren aufwändig
 
          - Trick für Gleichverteilung in n:m
            
              - Yi = floor(n + (m - n + 1) Xi)
 
            
           
          - Trick für Bernoulli
            
              - Xi ≤ p → Yi = 1,
                sonst 0
 
              - entspricht Grundverfahren
 
            
           
          - Trick für Binomial-Verteilung B(n,p)
            
              - mache n Bernoulli-Würfe Zk, k =
                1..n
 
              - Yi = Z1 + ... + Zn
 
            
           
        
       
      - Grundidee bei stetiger Verteilung:
        
          - Ausgangspunkt Verteilungsfunktion F(y) = P(Y ≤ y)
            
          
 
          - inverse Transformation (wie bei diskreter Verteilung)
            
          
 
          - prima, wenn F-1 explizit berechenbar
 
          - Gleichverteilung U(a,b)
            
          
 
          - Exponentielle Verteilung Ex(λ)
            
              
 
              - kleine Vereinfachung, da auch 1 - Xi ~
                U(0,1)
 
              
 
            
           
        
       
      - Normalverteilung:
        
          - Berechnung von F-1 nur numerisch, zu
            aufwändig
 
          - es genügt Y ~ N(0,1), denn damit
            
          
 
          - Box-Muller-Algorithmus
            
              - bestimme X1, X2 ~ U(0,1),
                damit
 
              
 
            
           
          - Y1, Y2 ~ N(0,1),
            unabhängig
 
          - Beweisidee:
            
              - betrachte 2d-Normalverteilung
 
              - gehe zu Polarkoordinaten über
 
            
           
          - Details im Anhang
 
        
       
      - Alternative Zikkurat-Verfahren:
        
          - heute verbreitet, weil schneller
 
          - geht grundsätzlich für beliebige
            Verteilungen
 
          - Grundidee
            
              - überdecke Fläche unter dem Graphen der
                Dichtefunktion mit gleichverteilten Zufallspunkten
 
              - wähle einen Punkt und gebe die x-Koordinate
                aus
 
            
           
          - praktische Umsetzung
            
              - würfle Punkt auf der Ebene in geeignetem
                Bereich
 
              - teste, ob er unterhalb des Graphen der
                Dichtefunktion liegt
 
              - ja: gib x-Wert zurück, nein: verwirf den
                Punkt
 
            
           
          - Problem: x-Werte gehen grundsätzlich bis
            unendlich
 
          - Verbesserung (weniger verworfene Punkte)
            
              - überdecke Graphen mit N-1 Rechtecken und
                einem Endstück jeweils gleicher Fläche
 
              
 
              - würfle Nummer 1 .. N und einen Punkt im
                Rechteck
 
              - besondere Behandlung für das unterste
                Stück
 
            
           
        
       
      - Aufgaben: