Interpolation
  
    - Spezifische Wärmekapazität cp von Wasser:
      
        
      - einige Messwerte wurden
      bestimmt
 
        - daraus soll Wert für t1 = 15 °C ermittelt
        werden
 
        - am einfachsten: lineare Interpolation
          
        
 
        - Ergebnis: cp(t1) = 4.1795
        kJ/(kg K)
 
        - kann man einen "besseren" Wert bekommen?
 
      
     
    - Problem der Interpolation:
      
        - gegeben N Punkte
          
            - (xi, yi), i = 1, .. N,
            mit xi ≠ xj für i ≠ j
 
          
         
        - gesucht Funktion f einer vorgegebenen Klasse (z. B.
        Polynom) mit
          
        
 
      
     
    - Polynom-Interpolation:
      
        - Es gibt genau ein Interpolationspolynom P vom Grad
        N-1
          
        
 
        - Einsetzen der Punkte liefert N Gleichungen für die N
        Koeffizienten ak
          
        
 
        - in Matrixform
          
        
 
        - Systemmatrix
          
            - Vandermonde-Matrix
 
            - nicht singulär (bei xi ≠
            xj für i ≠ j)
 
            - schlechte Kondition bei kleinen Abständen
            zwischen den xi
 
          
         
      
     
    - Lagrangeform der Lösung:
      
        - Lösung direkt hinschreibbar, etwa quadratisches
        Polynom für N = 3
          
        
 
        - Überprüfen durch Einsetzen von x1,
        x2, x3
 
        - allgemein
          
        
 
      
     
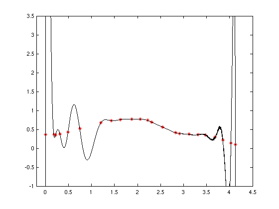
    - Beispiele:
      
        - "sinnvoll" nur bei kleinem N
          
        
 
        - starke Überschwinger bei großem N
          
        
 
        - bei bekannter Funktion f optimierbar durch geschickte
        Wahl der Stützstellen xi (Tschebycheff-Knoten)
          
        
 
      
     
    - Kubische Splines:
      
        - Alternative: stückweise Polynome Pk(x)
        niedriger Ordnung
 
        - kubische Splines definiert durch
          
            - Polynom 3. Ordnung zwischen je zwei
            aufeinanderfolgenden Punkten
 
            - 1. und 2. Ableitungen sind stetig
 
          
         
        - Beispiel
          
        
 
        - Splines gegeben durch je 4 Koeffizienten
        ak, bk, ck, dk
          
        
 
        - Bedingungen
          
        
 
        - Anzahl der Koeffizienten: 4N - 4
 
        - Anzahl der Bedingungen: (N-1) + (N-1) + (N-2) +
        (N-2) = 4N-6
 
        - bleibt je eine zusätzliche Bedingung an den
        Endpunkten x1, xN
 
      
     
    - Wahl der Randbedingungen:
      
        - 
          natürliche Splines
          
            - Extrapolationen (Kurven außerhalb [x1
            xN]) verlaufen linear
 
            
 
          
         
        - 
          "not-a-knot"-Splines
          
            - bei x2 und xN-1 dreimal stetig
            differenzierbar
 
            
 
            - ein einziges kubisches Polynom durch
            (x1, x2, x3) bzw.
            (xN-2, xN-1, xN)
 
          
         
        - 
          periodische Splines
          
            
 
            - wichtig bei geschlossenen Kurven
 
          
         
        - Ableitungen M1, MN an den
        Endpunkten bekannt
          
        
 
      
     
    - Bestimmung der Koeffizienten:
      
        - die (noch unbekannten!) Steigungen an den Punkten
        seien Mk, also
          
        
 
        - mit den Abkürzungen
          
        
 
        - hat das Polynom
          
        
 
        - die Eigenschaften
          
        
 
        - aus der Stetigkeit der 2. Ableitung (4) erhält man
        N-2 lineare Gleichungen für die Mk
          
        
 
        - 2 ergänzende Gleichungen für natürliche Splines
          
        
 
        - 2 ergänzende Gleichungen für "not-a-knot"-Splines
          
        
 
        - Details der Rechnung im Anhang
 
      
     
    - Matlab-Funktionen:
      
        - Interpolation bei Punkten x, y, an den Stellen xi
          
            - yi = interp1(x, y, xi,
            Methode)
 
            - Methoden (u.a.) "linear", "spline"
 
            - "spline" verwendet
            not-a-knot-Randbedingungen
 
          
         
        - Interpolationspolynom bestimmen
          
            - poly = polyfit(x, y,
            length(x)-1);
 
          
         
        - Zwischenwerte des Polynoms berechnen
          
        
 
      
     
    - B-Splines:
      
        - interpolieren beliebige Raumkurve
 
        - zusätzliche Kontrollpunkte legen Tangentenrichtungen
        fest
 
        - Basis von Freiformkurven in 2D-CAD
 
        - Verallgemeinerung auf Flächen
          
            - NURBS (Non Uniform Rational B-Splines)
 
            - Basis von Freiformflächen in 3D-CAD
 
          
         
      
     
    - Aufgaben: