Definite Integrals
- Exercise 3:
- given a mathematical pendulum of length l = 1 m
- compute oscillation period for initial values
- mathematical problem: compute a complicated
integral
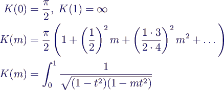
- Special function:
- complete elliptic integral of the first kind K
- important properties
- computation in Matlab
- directly defined as
ellipke(m)
- Related functions:
- elliptic integrals

- P(x) polynomial of degree 3 or 4
- R rational function of its two arguments
- important special case: incomplete elliptic integral
of the first kind
- inverse of F (Jacobi elliptic functions)
- Further applications:
- in mathematics
- geometry (e. g. arc length of ellipse)
- complex functions (doubly periodic
functions)
- very important further
developments (elliptic curves, modular forms, Fermat, ...)
- solution of quintic equations
- trajectory of the mathematical pendulum
- form of a skipping rope
- soliton waves
- cryptography (ok, needs some steps from here
...)
- Solution of exercise 3:
- equation of motion

- with

- energy conservation →
- integration from 0 to T/4 →
- substitution

- and abbreviations

- result in

- numerically
-
| φ0 |
T |
|T - T0|/T0 |
| 10° |
2.0521 |
0.0229 |
| 90° |
2.6640 |
0.3280 |
| 175° |
6.2141 |
2.0977 |