Unabhängige Zufallsvariablen
    
      - Unabhängigkeit mehrerer Zufallsvariablen X1,
        .., Xn:
        
          - Wahrscheinlichkeits- bzw. Dichtefunktion faktorisiert
            
              - p(x1, ..., xn) = p(x1)
                ... p(xn)   (diskret)
- f(x1, ..., xn) = f(x1)
                ... f(xn)   (stetig)
 
- vereinfacht Berechnungen erheblich
- X, Y unabhängig ⇒
            
              - E(X Y) = E(X) E(Y)
- Var(X + Y) = Var(X) + Var(Y)
 
- weitere Vereinfachung: alle Xi haben
            gleiche Verteilung
            
              - Bezeichnung: i.i.d. = independent identically
                distributed
 
- häufig gute Annahme für Messreihen
 
- Beispiel Rundungsfehler:
        
          - Zahlenwerte im Computer
            
              - sind auf feste (binäre) Stellenzahl gerundet
- Rechenergebnisse haben Rundungsfehler
- Standardgenauigkeit δ ≈ 2 · 10-16
- Abweichung maximal δ/2
 
- Annahmen (meistens gut erfüllt)
            
              - Rundungsfehler X gleichverteilt im Intervall
                [-δ/2, δ/2]
- Rundungsfehler von Teilrechnungen unabhängig
                voneinander
 
- für Einzelfehler
            
          
-  Zufallsvariable S für Summe aus n
            Größen
            
          
- mittlerer Fehler wächst mit  , nicht mit n , nicht mit n
              - Grund: positive und negative Fehler heben sich
                teilweise auf
 
 
- Summe unabhängiger Zufallsgrößen:
        
          - X, Y unabhängige Zufallsvariable mit Dichten
            f(x), g(y)
- gesucht: Dichtefunktion h(z) von Z = X + Y
- Ergebnis
            
          
- Beweis
            
               
- mit der Substitution t = x + y, dt = dy bei (1)
 
- Spezialfälle
            
          
 
- Beispiel Beladung eines Schmelzofens:
        
          - Schmelzofen wird mit Kisten aus Ausschussmaterial
            beladen
            
              - Behälter für Schmelze fasst maximal
                3000 kg
 
- unterschiedliche Masse pro Kiste, Verteilung X ~
            N(100 kg, 400 kg2)
- wird mit n = 27 Kisten beladen
- Gesamtladung Sn des Ofens also
            normalverteilt mit
            
              - E(Sn) = n E(X) = 2700 kg
- Var(Sn) = n Var(X) = 10800 kg2
- σ(Sn) = 103.9 kg
 
- Wahrscheinlichkeit für Überladung
            
          
 
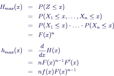
- Maximum und Minimum unabhängiger
        Zufallsgrößen:
        
          - gegeben: n i.i.d. Zufallsvariablen Xi mit
            Dichte f(x) und Verteilungsfunktion F(x)
- gesucht: Dichte hmax(z) von Z = Max(Xi)
- Ergebnis
            
          
- Beweis
            
          
- analog für das Minimum
            
          
 
- Beispiel Gleichverteilung:
        
          - n in [0,1] gleichverteilte Zufallszahlen Xi
- gesucht: Erwartungswert für Maximalwert Z
- Dichte und Verteilungsfunktion der einzelnen Xi
            
          
- mit obigen Formeln
            
          
- Erwartungswert
            
          
- z. B. für n = 10
            
              - E(Z) = 10/11 = 0.9091
- P(Z ≤ 0.9) = 0.910 = 34.87 %
 
 
- Aufgaben: