Lösung von Aufgabe 4
- Aus der Zeichnung liest man ab
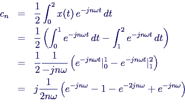
- Durch Aufspalten des Integrals erhält man also
- Aus ω =
2π/T = π
folgt
- Mit den Beziehungen
- lässt sich cn weiter einfachen zu
- Die Kosinusreihe verschwindet wegen
- Die Koeffizienten der Sinusreihe sind
- Das Spektrum hat daher folgende Form: