Diskrete Systeme mit kontinuierlichen Subsystemen
    
      - Beispiel "Hybrider Härteofen" [24]:
        
          - industrieller Härteofen zur Wärmebehandlung von
            Werkstücken aus Stahl
 
          - Funktionsweise
            
              - ankommende Werkstücke werden gesammelt, bis eine
                Ofenladung erreicht ist
 
              - Werkstücke durchlaufen mehrere Wärmebehandlungen
                aus Aufheizen und Halten
 
              - verlassen Ofen und durchlaufen ggf. weitere
                Fertigungsschritte 
 
              - Abkühlungsphase des Ofens am Ende
 
            
           
          - besonderes Interesse am Energieverbrauch
            
              - → Wärmeströme zwischen Werkstücken, Ofen und
                Umgebung untersuchen
 
            
           
          - komplexe Kopplung aus diskretem und kontinuierlichem
            Systemverhalten
 
        
       
      - Beschreibung als Schichtenmodell:
        
          - Trennung unterschiedlicher Systemaspekte
            
          
 
          - Materialfluss-Schicht (MF)
            
              - beschreibt Fluss der Werkstücke in den Ofen und
                hinaus
 
              - Verbindung des Ofens innerhalb der
                Produktionskette
 
            
           
          - Prozesskontroll-Schicht (PC)
            
              - beschreibt interne Kontrollabläufe
 
              - wichtig für Maschinen mit komplexen inneren
                Abläufen (Phasen)
 
            
           
          - Prozessphysik-Schicht (PP)
            
              - beschreibt relevante physikalische Prozesse
 
              - z.B. Wärmeströme, chemische Reaktionen
 
            
           
          - Kopplung der Schichten
            
              - MF → PC: Ofenladung an Werkstücken ist angekommen
 
              - PC → MF: Werkstücke verlassen den Ofen
 
              - PC → PP: aktuelle Phase (load,
                heatUp, s.u.)
 
              - PP → PC: Ofen-Temperatur
 
            
           
          - Verbindung nach außen hier nur über MF-Schicht
            
              - grundsätzlich auch weitere externe Kopplungen
                möglich, z.B. auf PP-Level
 
              - erzeugt deutlich komplexere Struktur des
                Gesamtsystems (Netzwerk)
 
            
           
        
       
      - Mathematische Modellierung:
        
          - Modell enthält DGLs und komplexe diskrete Prozesse
 
          - Beschreibung möglich mit DEV&DESS
            
              - DESS = DGLs in der PP-Schicht
 
              - DEVS = diskrete Prozesse in MF- und PC-Schicht
 
              - Kopplung der Teilsysteme über Variable (Ein-,
                Ausgangsgrößen, Zuständsgrößen) der Teilsysteme
 
            
           
          - mögliche Alternative
            
              - DGLs als QSS
 
              - Gesamtmodell als DEVS
 
            
           
        
       
      - Implementierung des Gesamtsystems in
        Simulink/Stateflow/SimEvents:
        
          - Schichtenmodell durch Subsysteme
            
          
 
          - minimales Gesamtsystem
            
              - Werkstücke werden in festen Intervallen erzeugt
 
              - in Queue zwischengespeichert
 
              - durchlaufen Ofen
 
              - verlassen System
 
            
           
          - Kopplungen
            
              - MF → PC: SimEvent-Message
 
              - PC → MF: SimEvent-Message
 
              - PC → PP: reelle Variable
 
              - PP → PC: reelle Variable (eigentlich 2-Vektor,
                incl. Werkstück-Temperatur)
 
            
           
          - Ergebnisse
            
          
 
        
       
      - Modellierung der Materialfluss-Schicht:
        
          - Verhalten
            
              - eingehende Werkstücke werden auf einem "Blech"
                bis zur Batchgröße gesammelt
 
              - ist der Ofen leer, wird ein kompletter Batch in
                den Ofen gebracht
 
              - eine Message wird an die PC-Schicht geschickt
 
              - kommt eine Message von PC, wird der Ofen geleert
 
              - die Werkstücke werden vereinzelt und
                weitergegeben
 
            
           
          - Implementation in SimEvents
            
              
 
              - Vorsicht: Entity Batcher
                und Entity Unbatcher
                speichern intern!
 
              - → Entity Gate muss
                direkt hinter dem Server sein
 
            
           
        
       
      - Modellierung der Prozesskontroll-Schicht:
        
          - Verhalten gegeben durch Zustandsdiagramm
            
          
 
          - verwendet verschiedene Ein-/Ausgabe- und interne
            Größen
            
              
 
              - Eingänge 1-3: SimEvents-Messages
 
              - Eingang 4: Matrix HeatP
                mit Zeilen (ti, Ti) für Haltedauer und
                Temperatur
 
              - Ausgänge 1-2: reelle Werte
 
              - Ausgang 3: SimEvents-Message
 
            
           
          - gesamte Komponente in Simulink
            
          
 
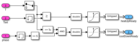
          - Submodell checkTemperature
            
              - vergleicht Ist-Temperatur T
                und Soll-Temperatur Tset
 
              - erzeugt Message heatUpReady
                für Statechart
 
              - prüft ggf., ob Abkühltemperatur erreicht ist
 
              
 
            
           
          - umständliches Erzeugen der Messages
            
              - Hit Crossing-Block erzeugt keine
                Message, sondern komplexe Entity
 
              - muss in einfache Message gewandelt werden
 
              - Standard-Trick: mit Entity
                  Generator
 
            
           
        
       
      - Modellierung der Prozessphysik-Schicht:
        
          - betrachtete Energieströme
            
              
 
              - Pzu: zugeführte Heizleistung
 
              - POW: Ofen → Werkstück, Konvektion +
                Strahlung 
 
              - PLOU: Ofen → Umgebung, Leitung
 
              - PSOU: Ofen → Umgebung, Konvektion +
                Strahlung (bei geöffneter Tür)
 
            
           
          - Berechnung aus den Temperaturen von Ofen, Werkstück
            und Umgebung
            
              
 
              - Parameter aus der Maske
 
              - Temperaturen in K (wegen T4)!
 
            
           
          - Berechnung der Temperaturen mit
            
          
 
          - Pheat, Ploss, POW
            jeweils abhängig von der Phase, insbesondere
            
          
 
          - in Simulink
            
              
 
              - Ausgänge von Phasenschalter immer 0 oder 1 zu
                geeigneten Phasen
 
              - trickreich, aber richtig (nachprüfen!)
 
            
           
        
       
      - Modell-Varianten:
        
          - mehrere Implementierungen der einzelnen Schichten
            
              - unterschiedliche Detailgrade oder
                Modellierungsmethoden
 
              - z.B. vereinfachtes PC-Modell, Physical Modeling
                für PP
 
            
           
          - Zweck
            
              - nicht immer die komplexesten Teilmodelle im
                riesigen Gesamtsystem sinnvoll
 
              - Auswahl der Komponenten nach aktuellem
                Simulationszweck
 
              - untersuchen: welche Komponente ist nötig für
                bestimmte Fragestellung
 
              - z.B. Energieverbrauch einer Maschine eher klein →
                PP kann einfacher modelliert werden
 
            
           
          - Beschreibung des Gesamtmodells incl. (vieler!)
            verschiedener Varianten
            
              - aktuelles Forschungsthema
 
              - ein spannender Ansatz: SES/MB-Framework [25]
 
            
           
        
       
      - Aufgaben: