Modeling Tee Branches (1)
    
     - Tee branches:
        
          - split or join mass flows
            
              
 
              - simplification: 90° angle and identical cross
					 sections A
 
            
           
          - complex behaviour
            
              - changed total cross sections → dynamic pressure
					 changes
 
              - internal friction → pressure drops
 
            
           
          - nonlinear coupling across the complete model
            
              - MFL: drastic simplifications necessary
					 (substitutional pipe length)
 
              - TFS: no nonlinear coupling of components (mass
					 flow is state variable!)
 
            
           
        
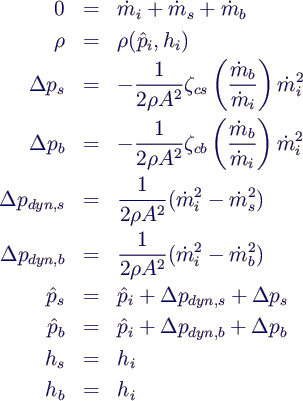
      - Equations of basic splitter TeeBranchS:
        
          - simplifications
            
              - constant temperature
 
              - constant density, coming from input state
 
              - in applications usually ok
 
            
           
          - loss functions ζcs, ζcb
            
              - describe friction and part of dynamical
					 pressure
 
              - here: simple fit polynomials
 
            
           
          - basic equations
            
          
 
          - in TFS additional equations for r variable (Zimmer
				2020)