Inverse Functions
    
      - Exercise 1:
        
          - horizontal pipe
            
              - length l = 2 km
 
              - diameter d = 0.5 m
 
              - surface roughness k = 0.1 mm
 
            
           
          - volume flow 
 = 1200 m³/h, water of 85 °C 
          - compute pressure loss Δp
 
          - mathematical problem: analytically solve
				"simple" equation
 
        
       
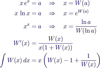
      - Special function:
        
          - Lambert W function
            
              - positive branch of the inverse of
					 f(x) = x ex for x > -1/e
 
              
 
            
           
          - important properties (for suitable x, a)
            
          
 
          - computation in Matlab
            
              - directly defined as
					 lambertw(x)
 
              - negative branch with
					 lambertw(-1, x)
 
            
           
        
       
      - Further applications e.g.:
        
          - explicit solutions of some quantenmechanical
				systems
 
          - kinetics of enzyme-catalysed reactions
 
          - crystal growth
 
          - Einstein vacuum equations
 
          - epidemiology
 
        
       
      - Solution of exercise 1:
        
          - get density ρ and kinematic viscosity ν from water
				tables
 
          - compute dimensionless quantities
            
          
 
          - compute the Darcy friction factor λ by solving the
            Coleman equation
            
              
 
              - introducing 
 and some
                abbreviations → 
              
 
              - simple algebra →
 
              
 
              - solution
 
              
 
              - numerical evaluation →
 
              - λ =  0.0148
 
            
           
          - compute pressure loss