Kontinuierliche Zeit + Ereignisse
    
      - Beispiel:
        
          - Hüpfender Ball
 
          - interessierende Größen
            
              - Position des Balls x(t)
 
              - Geschwindigkeit des Balls v(t)
 
              - Zeitpunkte des Bodenkontakts tb,i
 
              - Anzahl der Sprünge n(t)
 
            
           
          - Beschreibung
            
              - Erdbeschleunigung g
 
              - Verlustfaktor q < 1
 
              
 
            
           
          - typische Trajektorie
            
           
        
       
      - Modellierung der Zeit:
        
          - hybride Zeit
            
              - umfasst kontinuierliche Zeit und Ereignisse
 
              
 
            
           
          - anschaulich
            
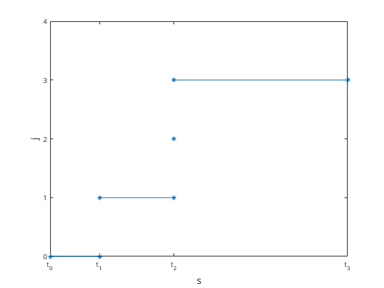
              - s = kontinuierliche Zeit
 
              - j = Nummer des letzten Ereignisses
 
              - Ereignisse sind zeitlich sortiert
 
              - mehrere Ereignisse zu einer Zeit möglich
 
              
 
            
           
          - Trajektorie über der hybriden Zeit
            
          
 
        
       
      - Vorsicht, Zenon-Effekt:
        
          - unendlich viele Ereignisse in endlicher Zeit
            
              
 
              - Ereignisfolge konvergiert gegen Zeitpunkt x*
 
            
           
          - als Graph in hybrider Zeit