Smoothing the distribution
    
      - Approximation of Ng(μ, σ2):
        
          - discrete distribution cumbersome for large values (≙
            high precision)
 
          - idea
            
              - approximate Ng with a continuous
                distribution Ns ("smoothed" normal)
 
              - interprete rounding as a special noise
 
            
           
          - concrete model
            
              - Xg = X + Y
 
              - where
 
              - X ∼ N(μ, σ2)
 
              - Xg = round(X)
 
            
           
          - Y interpreted as noise with
            
              - Y ∼ U(−0.5, 0.5)
 
              - useful approach in computer arithmetic
 
            
           
          - of course X, Y not independent!
 
        
       
      - Experiment 3:
        
          - create random values X and Xg 
 
          - compute Y = X - Xg
 
          - test Y ∼ U(−0.5, 0.5) with χ2 test →
            
              - 
                
                  
                    
                      | N | 
                      p-value | 
                    
                    
                      | 3000 | 
                      0.6165 | 
                    
                    
                      | 30000 | 
                      0.5279 | 
                    
                  
                
               
            
           
          - compute correlation coefficient ρ(X,Y) →
            
              - 
                
                  
                    
                      | N | 
                      ρ | 
                    
                    
                      | 3000 | 
                      -0.0077 | 
                    
                    
                      | 30000 | 
                      0.0085 | 
                    
                    
                      | 300000 | 
                      0.0003 | 
                    
                  
                
               
              - small, tends to 0 for large N (seemingly)
 
            
           
        
       
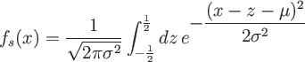
      - Approximate probability density function fs:
        
          - assume X, Y independent
            
              - → computation of density function easy via
                convolution
 
              
 
            
           
          - Gaussian smoothed over interval 1
 
          - coincides with exact discrete distribution at integer
            x
 
          - fs and corresponding cdf Fs
            easily computed numerically
 
          - for standard values used here
            
          
 
        
       
      - Experiment 4:
        
          - χ2 testing using fs
            
              - create rounded values as before
 
              - use edges on integral boundaries → test is
                sensitive to rounding
 
              - use Fs instead of Φ
 
            
           
          - results
            
              - 
                
                  
                    
                      | N | 
                      p-value, Φ | 
                      p-value, Fs | 
                    
                    
                      | 3000  | 
                      0.0044 | 
                      0.0046 | 
                    
                    
                      | 30000 | 
                      3.7098e-42 | 
                      4.9609e-42 | 
                    
                  
                
               
            
           
          - idea completely useless!