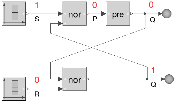
Understanding the static RS flip-flop
t
S
R
P
Q
3
-
0
0
1
0
1
3.a
1
0
0
0
1
3.b
1
0
0
1
0
3
+
1
0
0
1
0
Walking the loop
S, R are given externally
is the last value of P
compute all other values
anything changed → new event iteration
Reason for unexpected behaviour
immediate re-evaluation after change
→ no output delay