Understanding the triggered RS flip-flop

RS
		     flip-flop
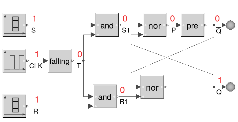
t S R CLK T S1 R1 P Q Q bar
10.5- 1 1 1 0 0 0 0 1 0
10.5.a 1 1 0 1 1 1 0 0 0
10.5.b 1 1 0 0 0 0 0 1 0
10.5+ 1 1 0 0 0 0 0 1 0
Walking the loop
Reason for unexpected behaviour