Understanding the static RS flip-flop

RS
		     flip-flop
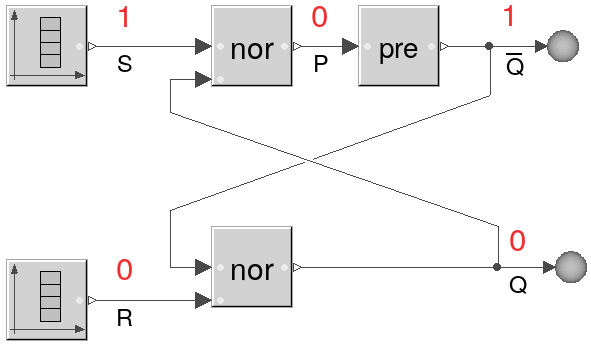
t S R P Q Q bar
3- 0 0 1 0 1
3.a 1 0 0 0 1
3.b 1 0 0 1 0
3+ 1 0 0 1 0
Walking the loop
Reason for unexpected behaviour