Die Lösung: Umschaltung zwischen Haft- und Gleitreibung
  
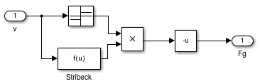
    - Teilmodell für Gleitreibung
      
    
 
    - Modell für die Umschaltung
      
    
 
    - Gesamtmodell
      
    
 
    - Warum Gesamtmodell so kompliziert?
      
	- Solver macht Schritte über v = q hinweg → Haften
	kommt nicht vor
 
	
	- Solver mit Event-Lokalisierung sucht den genauen
	Zeitpunkt
 
	- HitCross-Block definiert Event v = q
 
      
     
    - Ergebnis
      
	- wie vorher, aber ohne Parameter x0
 
	
	- unabhängig von εrel und Solver
 
      
     
   
  
    
    
      - Teilmodell für Haftreibung