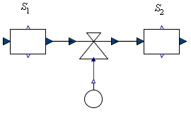
Reservoir mit Sättigung
- Sättigung:
- optionale Parameter eines Reservoirs für Maximal- und
Minimalwert
- einfaches Beispiel mit Minimalwert 0 im ersten Reservoir
- Dynamische Kausalität:
- t < 8 → Flow-Komponente definiert den Wert des
Flusses (wie durch Converter gegeben)
- t > 8 → Reservoir S1 setzt
Fluss auf 0
- ändert sich auch, wenn S2 die obere
Sättigung erreicht