System-Dynamics-Diagramme
  
    - Ein graphisches Modellierungsverfahren:
      
	- hauptsächlich verwendet in nicht-technischen
	Anwendungen wie Ökonomie oder Ökologie
 
	
	- berühmte Anwendung: Weltmodelle (Forrester,
	Meadows)
 
	- stellt grundlegende Variablen in den Vordergrund -
	versteckt konkrete mathematische Formeln
 
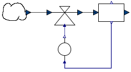
	- Vorbild "Wasserströmung" mit Basis-Komponenten:
	  
	    
 
	    - Reservoir = Zustandsgröße
 
	    - Flow = Zu-/Abfluss (Zeitableitung)
 
	    - Converter = Hilfsgröße (und ihre Formel)
 
	  
	  
      
     
    
    - Implementierungen:
      
	- Stella (isee systems)
 
	- Vensym (Ventana systems), Simile
	(Simulistics), ...
 
	- Modelica-Bibliothek von Cellier et al.
 
      
     
    - Kausalität:
      
	- Festlegung aller Anschlüsse als Eingang oder
	Ausgang
 
	- in Simulink-Modellen festgelegt
 
	- in Physical Modeling (Modelica) dynamisch
 
	- scheint hier trivial zu sein - ist es aber nicht!