Lösung von Aufgabe 10
-
- Bahnlinien für
= (x, y) aus d
/dt
=
:
- In Koordinaten lautet die Dgl:
- (1) ableiten und (2) einsetzen →
-
= - ω
= -ω2
x
- Schwingungsdgl., also Lösung für x:
- in (1) einsetzen →
- y(t) = -
/ω = a sin(ω t + φ)
- also
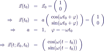
- Kreise um den Ursprung. Radius a und Phase φ
aus den Anfangsbedingungen.
- Stromlinien:
- aus
- dy/dx = v/u = -x/y
- ⇒
y dy = -x dx
- ⇒
1/2 y2 = - 1/2 x2 + C
- ⇒
x2 + y2 = 2 C
- Kreise um den Ursprung, Radius durch Anfangspunkt gegeben.
- Streichlinien:
- Zunächst Anfangsbedingung bei Bahnlinien einbauen
- Zu jeder festen Zeit t ist dies ein Kreis um den Ursprung
mit Radius 1, beschrieben durch den Parameter t0.