Eigenschaften von Gas-Dampf-Gemischen
    
      - Gas-Dampf-Gemisch:
        
          - Gasphase
            
              - homogenes Gas oder Gasgemisch
 
              - wird als ein ideales Gas behandelt
 
              - i.f. immer Luft
 
              - Größen mit Index L ("Luft")
 
            
           
          - Dampfphase
            
              - Komponente, die gasförmig oder flüssig (u.U. auch
                fest) sein kann
 
              - häufig mit geringem Partialdruck
 
              - → im gasförmigem Zustand als ideales Gas
                beschreibbar
 
              - i.f. immer Wasser (in allen Aggregatzuständen)
 
              - Größen mit Index W ("Wasser")
 
            
           
          - Gemisch wird hier ideal angenommen
 
          - gute Näherung für feuchte Luft bei nicht zu großen
            Drücken
 
        
       
      -  Dampfdruckkurve pS(T):
        
          - Grenzkurve zwischen flüssiger und gasförmiger Phase
            
          
 
          - auch als Sättigungskurve
            bezeichnet
 
          - beschreibt maximalen Anteil von Dampf
            
              - Dampfanteil steigt
 
              - → Partialdruck pW* steigt
 
              - → Sättigungsdruck wird überschritten
 
              - → Wasser kondensiert
 
            
           
          - beschreibt Taupunkt
            
              - Temperatur sinkt
 
              - → zugehöriger Sättigungsdruck pS wird
                kleiner
 
              - → Partialdruck überschreitet pS
 
              - → Wasser kondensiert (Taupunkt)
 
              - → Nebelbildung
 
            
           
          - endet am Tripelpunkt
            
              - bei Wasser etwa bei 0 °C
 
              - darunter Eisbildung statt Nebelbildung
 
            
           
          - Dampfdruck-Tabelle
            für Wasserdampf
 
        
       
      - Dampf-Sättigungszustände:
        
          - ungesättigter Zustand
            
          
 
          - gesättigter Zustand
            
              - pW* = pS
 
              - Kondensat vorhanden
 
            
           
          - übersättigter Zustand
            
              - pW* > pS
 
              - instabil
 
              - möglich bei Fehlen von Kondensationskeimen
 
            
           
        
       
      -  relative Feuchte φ
        
          - Verhältnis von Dampfdruck zu Sättigungsdruck
            
          
 
          - meistens in Prozent angegeben
 
          - relativ gut messbar (Hygrometer)
 
        
       
      -  Feuchtegehalt x
        
          - Verhältnis von Wassermasse zu (trockener) Luftmasse
            
          
 
          - Bezug auf trockene Luft nützlich z.B. in der
            Klimatechnik
 
          - bestimmbar aus p, pS(T) und φ mittels
            
          
 
          - bei gesättigtem Zustand (φ = 1)
            
          
 
        
       
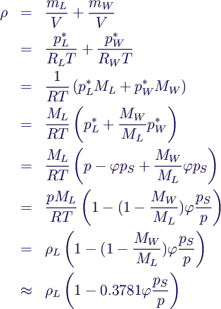
      - Dichte ρ feuchter Luft:
        
          - wegen Gasgleichung gilt
            
           
          - speziell für Komponente k eines Gemischs
            
           
          - mit Partialdruck pk*. Damit
            
          
 
          - feuchte Luft ist (spezifisch) leichter als trockene
            Luft
 
        
       
      - Spezifisches Volumen:
        
          - normale Definition für das Luft-Wasser-Gemisch
            
          
 
          - bezogen auf trockene Luft (analog zu x)
            
          
 
          - Zusammenhang beider Größen
            
          
 
        
       
      - Aufgaben: