Positivität der Entropie beim Befüllen
    
  - Die gesamte Entropieänderung ergibt sich aus den Entropieänderungen 
    der beiden Gasanteile m1 und ma zu 
    
  
 
  - Mit 
    
  
 
  - und den Abkürzungen 
    
  
 
  - hat man 
    
  
 
  - Zur Abschätzung des Logarithmus geht man aus von 
    
  
 
  - Das gilt, da 
    
      
 
      - f ist also monoton fallend für x < 1, monoton 
        steigend für x > 1. Sein Minimum ist daher f(1) = 0.
 
    
   
  - Daher hat man 
    
  
 
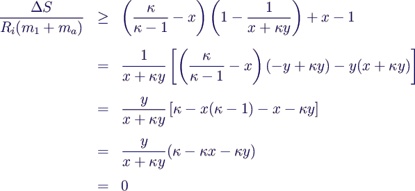
  - Mit dieser Abschätzung für beide auftretenden Logarithmen 
    erhält man