Lösung von Aufgabe 15
-
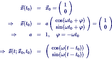
- Bahnlinien für
= (x, y) aus d
/dt =
:
- Stromlinien:
- aus
- dy/dx = v/u = -x/y
- ⇒
y dy = -x dx
- ⇒
1/2 y2 = - 1/2 x2 + C
- ⇒
x2 + y2 = 2 C
- Kreise um den Ursprung, Radius durch Anfangspunkt gegeben.
- Streichlinien:
- Zunächst Anfangsbedingung bei Bahnlinien einbauen
- Zu jeder festen Zeit t ist dies ein Kreis um den Ursprung
mit Radius 1, beschrieben durch den Parameter t0.