Statistische Analyse der Regressionsparameter
- Verteilungen der Schätzer A und B:
- als Linearkombinationen normalverteilter
Größen sind A und B normalverteilt
- Berechnung der Erwartungswerte
- mit

- und dem bekannten

- erhält man

- sowie für A

- also: A und B sind erwartungstreu
- Berechnung der Varianzen
- Wegen Var(Yi) = σ2
und Unabhängigkeit der Yi hat man

- genauso einfach, aber etwas länger,
berechnet man (s. Anhang)

- im Beispiel, mit sy|x als Schätzwert
für das unbekannte σ
- σα = 1.6262
- σβ = 2.8843
- relative Schwankungen
- σα/a = 1.1543
- σβ/b = 0.0298
- Wert für α deutlich ungenauer als der
für β
- Verteilungen des Schätzers S2y|x:
- Man kann beweisen
- daher erhält man
- außerdem: Sy|x ist unabhängig
von A und B
- Verhältnisse ähnlich wie bei
und S2 für Normalverteilungen
- Konfidenzintervalle für α und β:
- Verteilungen von A und B erfüllen
Voraussetzungen von Satz über t-Verteilung →
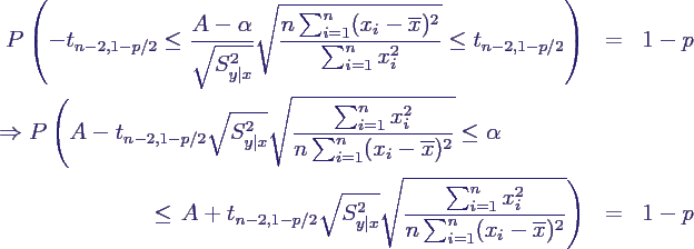
- bei gegebener Irrtums-Wahrscheinlichkeit p gilt daher
- man erhält also als Schätzer für die
Grenzen des zweiseitigen (1-p)-Konfidenzintervalls für α
- entsprechend ergibt sich für β
- im Beispiel für p = 5%
- α: [-2.3411, 5.1588]
- β: [90.2635, 103.5659]
- Konfidenzintervall für σ2:
- aus der bekannten Verteilung von S2y|x
erhält man für den symmetrischen Fall

- also als Schätzer für das
(1-p)-Konfidenzintervall

- im Beispiel für p = 5%
- σ2: [2.9756, 23.9371]
- σ: [1.7250, 4.8926]
- Tests für α und β:
- Verteilung interessierender Teststatistiken meistens
bekannt
- hier nur exemplarisch für β am
Standard-Beispiel
- Fragestellung
- gesucht ist Material mit
Elastizitätsmodul-Modul (≡ β) ≥ 90 N/mm2
- Ist E-Modul der Probe groß genug für
die Anforderungen?
- im Zweifelsfall lieber nicht verwenden, daher p =
1 %
- H0: E-Modul β der Probe ist ≤
β0 = 90 N/mm2
- als Teststatistik gut geeignet
- unter H0 ist T ~ tn-2, daher
kritischer Wert
- Messwerte des Beispiels liefern
- bei 1% Signifikanzniveau wird H0
akzeptiert, d. h. die Probe wird abgelehnt
- p-Wert von T(x)

- bei Signifikanz-Niveau 5% würde man hier
verwerfen, also die Probe verwenden
- wichtig: Signifikanzniveau vor der
Testdurchführung festlegen!