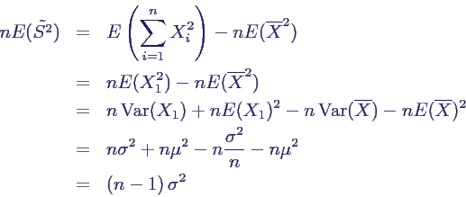
Erwartungswert des ML-Schätzers 
 für die Varianz
    
      - Berechnung des Erwartungswerts von 
 nach [Ross2]:
        
          - Zunächst gilt
            
          
 
          - daher ist
            
          
 
          - Nimmt man den Erwartungswert beider Seiten und
            benutzt noch die bekannte Beziehung für die Varianz einer
            beliebigen Zufallsvariablen Y
            
          
 
          - erhält man
            
          
 
          - also