Schwingungsgleichung des Balkens
    
      - 
        Balken nach Bernoulli: 
        
          - langer schmaler Körper mit konstantem
          Querschnitt
 
          - 
            Verbiegung beschrieben durch Position q(x, t) des
            Flächenschwerpunkts (neutrale Faser) 
            
        
            
              - schubstarr (keine Schubverformung)
 
              - nur in der x-z-Ebene
 
            
           
          - 
            zwei Schwingungsformen 
            
              - transversale Verschiebung mit q
 
              - Verbiegung mit q'
 
            
           
          - 
            Zusammenhang zwischen Verbiegung und Biegemoment My 
            
              
          
 
              - Elastizitätsmodul E
 
              - axiales Flächenträgheitsmoment
              Iy
 
            
           
        
       
      - 
        Herleitung der Schwingungsgleichung: 
        
          - 
            Kräfte bei Freischneiden von Massenelement dm 
            
        
          
 
          - 
            Kräftegleichgewicht für dm 
            
          
 
          - 
            für kleines dx also 
            
          
 
          - 
            Momentengleichgewicht für dm, bezogen auf den Mittelpunkt und den
            Winkel φ gegen die gerade Ausgangslage 
            
          
 
          - 
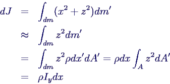
            dm ist sehr flache Scheibe, Fläche A, Dicke dx → 
            
              
          
 
              - mit dem Flächenträgheitsmoment
              Iy
 
            
           
          - 
            damit wird aus der Momentengleichung für kleines dx 
            
          
 
          - 
            rechte Seite 
            
              - Trägheit bei Verbiegungsschwingung q'
 
              - häufig klein gegen Trägheit bei Verschiebung
              q
 
              - Näherung i.f.: Term ist 0 (Bernoulli-Balken)
 
              - genauere Berücksichtigung möglich (Timoshenko-Balken)
 
            
           
          - 
            damit mit einmaligem Ableiten nach x 
            
          
 
          - 
            Zusammenhang zwischen My und q'' liefert dann 
            
          
 
          - 
            mit der Abkürzung