Erzwungene Schwingung
- Äußere Anregung:
- periodische äußere Kraft mit
- Beispiele:
- mechanische Vibrationen
- einfallende Schallwellen
- elektrische Schwingungen
- Federpendel mit Anregung:
- Simulation
- Verhalten bei b/m = 0.3/s, c/m = 1/s2 und
verschiedenen Anregungsfrequenzen
- ωext = 0.5/s
- erst Einschwingen, dann harmonische Schwingung
- folgt Anregung leicht phasenverschoben
- ωext = 1.0/s
- sehr große Amplitude (Resonanz)
- um π/2
zur Anregung phasenverschoben
- ωext = 2.0/s
- kleine Amplitude
- Phasenverschiebung fast π
(gegenläufig)
- Lösungen der Bewegungsgleichung:
- Bewegungsgleichung enthält äußere Kraft
- d2x/dt2 + b/m dx/dt + c/m x
= B/m cos(ωext t)
- Lösung besteht aus Überlagerung zweier Schwingungen:
- x(t) = xEinschwing(t) + xDauer(t)
- xEinschwing(t)
- Lösung der Gleichung ohne Anregung (homogene
Gleichung)
- gedämpfte Schwingung oder (für D > 1)
Kriechen
- enthält Abhängigkeit von Anfangsbedingungen
- xDauer(t)
- Schwingung mit der Frequenz der Anregung
- xDauer(t) = A
cos(ωext t + φ)
- Amplitude A und
Phasenverschiebung φ durch
Bewegungsgleichung gegeben
- insbesondere Funktionen von der Anregungsfrequenz
ωext
- Einsetzen liefert Beziehungen
- Amplituden-Funktion:
- Amplitude A(ωext)
gegeben durch
- mit den alten Abkürzungen
- ist dies:
- graphisch:
- bei geringer Dämpfung (D << 1) sehr hohe Amplitude
für ωext =ω0
(Resonanzkatastrophe)
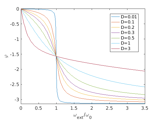
- Phasenfunktion
- Phasenfunktion φ(ωext)
gegeben durch
- graphisch:
- typische Fälle:
- niedrige Anregungsfrequenz →
Masse folgt direkt
- Resonanz →
Phasenverschiebung = π/2
- hohe Anregungsfrequenz →
gegenläufige Bewegung
- Aufgaben: