| ω0 | Kreisfrequenz 2πf |
| x0 | Anfangsauslenkung |
| v0 | Anfangsgeschwindigkeit |
| u(t) | äußere Beschleunigung F(t)/m |




| Block | Parameter | Wert |
|---|---|---|
| Zero Order Hold | Sample time | 0.05 |
| Gain | Gain | [1,0] |
| Gain | Multiplication | Matrix(K*u) |
| Random Number | Variance | 2e-4 |
| Random Number | Sample time | 0.05 |



| Beschriftung | Variablenname |
|---|---|
| angular frequency | omega0 |
| initial displacement | x0 |
| initial velocity | v0 |
| variance of measurement | R |
| initial seed | seed |
| sample time | dt |


| Block | Parameter | alter Wert | neuer Wert |
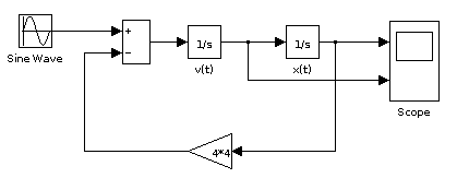
| Gain | Gain | 4*4 | omega0*omega0 |
| Integrator x(t) | Initial condition | 0 | x0 |
| Integrator v(t) | Initial condition | 0 | v0 |
| Random Number | Variance | 2e-4 | R |
| Random Number | Initial Seed | 0 | seed |
| Random Number | Sample time | 0.05 | dt |
| Zero Order Hold | Sample time | 0.05 | dt |

