Anwendung: Simulation des Straßenverkehrs
    
      - Modellierung von Verkehrflüssen:
        
          - große Breite an interessierenden Systemen
            
              - eine Ampelkreuzung
 
              - Haupt-Verkehrwege in einer Stadt
 
              - Autobahnnetz in Europa
 
            
           
          - vielfältige Problemstellungen
            
              - Ampel oder Kreisel?
 
              - geschickte Wahl von Ampelschaltungen
 
              - Verkehrsleitsysteme
 
              - Planung neuer Autobahn
 
            
           
          - sehr verschiedene Modellierungsverfahren
            
              - kontinuierlich (Flüsse = Fahrzeuge pro Stunde
                o.ä.)
 
              - diskret (bis zu Einzelfahrzeugen)
 
              - hybrid
 
            
           
          - Ansatz hier (nach [6],[7])
            
              - diskrete Modellierung mit Petrinetzen
 
              - ein Token = 1 Fahrzeug
 
              - Submodelle als komplexe Transitionen oder
                komplexe Stellen
 
            
           
        
       
      - Beispiel Durchgangsstraße mit Abzweigung:
        
          - Straßenplan
            
              
 
              - aus allen drei Richtungen können Fahrzeuge kommen
 
              - Fahrzeuge fahren geradeaus oder biegen ab
 
            
           
          - Grundmodell
            
              
 
              - Modell enthält Platz für je ein ankommendes und
                auslaufendes Fahrzeug pro Spur
 
              - Bereiche A, B, C, D, enthalten jeweils höchstens
                ein Fahrzeug
 
            
           
          - Aufbau des Modells
            
              
 
              - Eingangstransition und -stelle für jede
                einfahrende Fahrbahn (tWi/pWi, tEi/pEi, tNi/pNi)
 
              - Ausgangstransition und -stelle für jede
                ausfahrende Fahrbahn (tWo/pWo, tEo/pEo, tNo/pNo)
 
              - Stellen pA, pB, pC, pD für die Plätze auf der
                Kreuzung
 
              - Transitionen tWi1, tEi1, tNi1 zur Einfahrt auf
                die Kreuzung
 
              - Transitionen tWo1, tEo1, tNo1 zur Ausfahrt aus
                der Kreuzung
 
              - Transitionen tIab, tIbc, tIcd, tIda für
                Bewegungen auf der Kreuzung
 
            
           
        
       
      - Tests des Grundverhaltens:
        
          - einfache Stellen als Quellen/Senken für
            einfahrende/ausfahrende Fahrzeuge
 
          - einzelnes Fahrzeug kommt von W und will links
            abbiegen
            
              - 
                
              
 
              - klappt, ist aber Zufall (globalSeed
                = 0)!
 
              - Auswahl der Transitionen ist stochastisch →
                Fahrzeug könnte auch geradeaus fahren oder sogar auf ABCD im
                Kreis fahren
 
              - Setze Settings.globalSeed
                = 2 → Fahrzeug wendet
 
            
           
          - ein Fahrzeug kommt von E, eins von N
            
              - globalSeed = 0: beide
                Wagen biegen rechts ab
 
              - globalSeed = 1: Wagen
                von E biegt rechts ab, Wagen von N biegt links ab
 
              - Achtung: Wagen von E biegt immer rechts
                ab, da Geradeausfahrt blockiert ist
 
              - globalSeed = 4: Wagen
                von N wendet
 
              - globalSeed = 15: Wagen
                von N fährt einmal im Kreis und biegt dann links ab
 
            
           
          - viele weitergehende Fragestellungen, etwa
            
              - Untersuchung größerer Anzahlen (Ströme =
                Fahrzeuge/Zeit),
 
              - wie "rechts vor links" implementieren
 
              - wie bekommt man Wegvorgaben der Fahrzeuge
 
            
           
        
       
      - Fahrzeugquellen und -senken:
        
          - Submodelle, die Fahrzeuge erzeugen bzw. vernichten
 
          - nötig für vollständiges Modell
 
          - einfache Quelle
            
              
 
              - hat Reservoir von N Fahrzeugen
 
              - alle t Sekunden kommt ein Fahrzeug heraus
 
              - alternativ stochastisch (z.B. exponentiell
                verteilt)
 
            
           
          - einfache Senke
            
              
 
              - alle ankommenden Fahrzeugen landen sofort in
                riesigem Reservoir
 
            
           
        
       
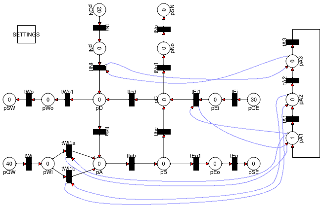
      - Abzweigung mit Ampelsteuerung:
        
          - Ampelschaltung hat drei Phasen
            
              - Phase 1: W und E grün, N rot (freie Fahrt
                Hauptstraße)
 
              - Phase 2: W grün, N und E rot (ermöglicht
                Linksabbiegen von W)
 
              - Phase 3: N grün, W und E rot (freie Fahrt
                Abzweigung)
 
            
           
          - Implementierung der Ampel
            
              - drei Stellen pA1/pA2/pA3 für die drei Phasen
 
              - zyklisch Transitionen dazwischen
 
              
 
              - Transitionen definieren Länge der Phasen
 
              - → schaltet mit vorgegebenen Zeiten zyklisch
                zwischen den Transitionen
 
            
           
          - Implementierung der Steuerung
            
              - Transition tEi1 schaltet nur in Phase 1
 
              - braucht also Token in pA1
 
              - jedes durchlaufende Fahrzeug muss das Token an
                pA1 zurückgeben
 
              - damit das klappt, muss maxToken
                von pA1 > 1 sein
 
              
 
            
           
          - Problem bei Einfahrt von W
            
              - grün in Phasen 1 und 2
 
              - zwei Ampel-Eingänge an tWi1 → UND-Verknüpfung
 
              - ODER-Verknüpfung durch zwei parallele
                Transitionen
 
              
 
            
           
          - Gesamtmodell Abzweigung2A
            
              - unübersichtlich, Farbgebung hilft
 
              
 
            
           
          - Ergebnis
            
              
 
              - Gesamtergebnis sieht qualitativ gut aus
 
              - Bewegung der Einzelfahrzeug wie üblich (incl.
                Kreisfahrten)
 
              - durch zusätzliche Steuerung während der
                Ampelphasen kontrollierbar (vgl. Aufgabe
                  10)
 
              - z.B.: Transition tIbc in Phase 3 sperren → Wagen
                von Norden können nur direkt nach W oder E fahren
 
            
           
        
       
      - Modellierung einer Straße:
        
          - Submodell für komplexe Stelle
 
          - viele Einzelschritte nötig bei Modellierung der
            räumlichen Fahrzeugverteilung
 
          - hier vereinfacht
            
              - ein Platz mit großer Kapazität nS
                (komplette Straße)
 
              - Durchlaufen der Straße braucht Übergangszeit tS
 
              - tS folgt aus  Länge der Straße
                und mittlerer Geschwindigkeit
 
            
           
          - einfache Transition mit tS ungeeignet,
            erzeugt Abstand tS zwischen je zwei Wagen! 
 
          - besseres Modell (vgl. [8])
            
              
 
              - erstes Token in p1 startet Transition der Zeit tS
                in t2
 
              - weitere bis zu nS Token in p1
                gesammelt
 
              - nach Zeit tS schaltet t2 → t1 wird
                frei und schaltet ein Token pro Zeitschritt
 
              - t3 hat Inhibitor-Kante
                → schaltet nur, wenn p1 leer ist
 
              - also: p1 leer → t3 schaltet → p4 ist wieder
                besetzt → Wartezeit beginnt erneut
 
            
           
        
       
      - Testmodell mit zwei Kolonnen:
        
          - Aufbau
            
              
 
              - Komponente road mit nS
                = 6, tS = 20
 
              - 1. Kolonne aus pIn1 wandert durch die Straße
 
              - tIn2 hat delay = 40, arcWeight = 8 (in und out)
 
              - → bei t = 40 wandern alle 8 Tokens von pIn2 nach
                pIn (2. Kolonne)
 
            
           
          - Ergebnis
            
          
 
          - nur realistisch bei getrennten Kolonnen
            
              - Überlapp bei delay = 30
                in tIn2
 
              - 2. Kolonne sollte frühestens nach 50 s aus der
                Straße kommen
 
              
 
            
           
        
       
      - Untersuchung von Verkehrsflüssen:
        
          - Beispiel Hauptstraße mit zwei Seitenstraßen
            
          
 
          - Gesamtmodell Strassennetz
            
          
 
          - Parameter
            
              - Eingangsflüsse [Fahrzeuge/min] QW =
                10, QE = 8, QNW = 6, QNE = 3
 
              - unterschiedliche Ausgangs-Wahrscheinlichkeiten in
                den Kreuzungen (vgl. Aufgabe 9)
 
              - Ampelzeiten jeweils 150s/30s/60s für die drei
                Phasen
 
              - Straßen: jeweils Kapazität von 30 und Delay von 2
                min 
 
            
           
          - Ergebnisse
            
              - Gesamtströme
 
              
 
              - Straßen knapp an der Kapazitätsgrenze (vor allem
                Richtung E) 
 
              - Übersicht der Fahrzeugströme
 
              - 
                
                  
                    
                      | Richtung | 
                      Vorgabe 
                        in | 
                      Anzahl 
                        in | 
                      Fahrzeuge/min 
                        in | 
                      Anzahl 
                        out | 
                      Fahrzeuge/min 
                        out | 
                    
                    
                      | W | 
                      10 | 
                      862 | 
                      10.34 | 
                      786 | 
                      9.43 | 
                    
                    
                      | E | 
                      8 | 
                      644 | 
                      7.73 | 
                      736 | 
                      8.83 | 
                    
                    
                      | NW | 
                      6 | 
                      489 | 
                      5.87 | 
                      353 | 
                      4.24 | 
                    
                    
                      | NE | 
                      3 | 
                      251 | 
                      3.01 | 
                      325 | 
                      3.90 | 
                    
                  
                
               
            
           
          - Problemstelle: Schlangen vor den Ampeln
            
              
 
              - Schlange aus Richtung NW besonders lang, wird
                nicht immer abgebaut
 
            
           
          - Lösungsidee: Ampelphase 3 (links) von 60 s auf 80 s
            verlängern
 
          - Ergebnisse
            
              
 
              - Schlange aus NW im Schnitt kürzer, wird immer
                abgebaut
 
              - Schlangen aus W länger
 
              - Schlange aus W an rechter Ampel deutlich länger
 
            
           
          - zur genaueren Analyse mehr Kennzahlen nötig, z. B.
            
              - mittlere Längen der einzelnen Schlangen
 
              - mittlere Wartezeiten der Fahrzeuge
 
            
           
        
       
      - Aufgaben: