Definition von Petri-Netzen
    
      - Graphische Modellierung mit Petri-Netzen:
        
          - eingeführt von Carl Petri 1962 (mathematisch)
 
          - erweitert Zustandsautomaten um Prozesse = zeitliche
            Abläufe
 
          - ermöglicht u.a. Beschreibung paralleler Prozesse
 
          - einfaches Grundmodell und viele Erweiterungen
 
          - umfangreiche mathematische Analysen, z. B.
            
              - Erreichbarkeit von Zuständen
 
              - Beschränktheit von Plätzen
 
              - Verklemmungsfreiheit
 
            
           
          - Anwendungen u.a.
            
              - parallele Prozesse in der Informatik
 
              - Fertigungstechnik
 
              - Logistik
 
              - Geschäftsprozesse
 
              - theoretische Biologie
 
            
           
        
       
      - Grundaufbau eines Petri-Netzes:
        
          - Graph mit
            
              - zwei verschiedenen Arten von Knoten (Stellen
                und Transitionen)
 
              - gerichteten Kanten von Stellen zu Transitionen
                und umgekehrt
 
              
 
            
           
          - Stellen (Places)
            
              - rund dargestellt
 
              - können eine oder mehrere Marken (Token)
                enthalten
 
              - beschreiben Teil-Zustände bzw.
                Vor-/Nach-Bedingungen von Prozessen
 
            
           
          - Transitionen
            
              - schwarze Rechtecke (quadratisch bis sehr schlank)
 
              - beschreiben Prozesse
 
              - Prästellen einer
                Transition t = Stellen mit Kanten zu t
 
              - Poststellen einer
                Transition t = Stellen mit Kanten von t
 
            
           
        
       
      - Verhalten eines einfachen Petri-Netzes:
        
          - Grundtyp: Stellen enthalten keine oder eine Marke
 
          - Transition t heißt aktiviert
            (enabled) ↔
            
              - alle Prästellen von t enthalten eine Marke
 
              - UND alle Poststellen von t sind leer
 
            
           
          - aktivierte Transition t kann schalten →
            
              - Marken aller Prästellen von t werden
                vernichtet
 
              - alle Poststellen von t erhalten eine Marke
 
              - anschaulich: Marken wandern (incl.
                Vernichtung/Erzeugung) durch Transitionen
 
            
           
        
       
      - Wann schalten aktive Transitionen:
        
          - sobald (externe) Bedingung erfüllt ist (cold
              transition)
 
          - automatisch (hot transition)
 
          - bei mehreren aktiven Transitionen
            
              - eine wird (zufällig oder gezielt)
                ausgewählt
 
              - mehrere können gleichzeitig schalten, falls
                möglich
 
            
           
          - im Beispiel: T4/T5 können nicht
            gleichzeitig schalten
 
          - Zeit zum Schalten
            
              - instantan (beim Grundtyp)
 
              - vorgegebene Schaltzeit einer Transition
 
              - zufällige Schaltzeit einer Transition
 
            
           
        
       
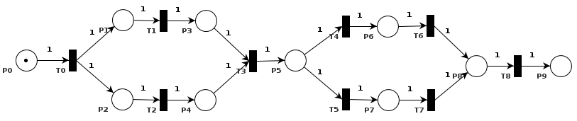
      - Beispiel "Bearbeitung einer Beschwerde":
        
          - Petri-Netz von oben, Transitionen entsprechen
            konkreten Prozessen 
            
          
 
          - Beschwerde kommt an (Token in P0)
 
          - Beschwerde wird erfasst (T0 schaltet)
 
          - Kunde wird angeschrieben und Abteilung angefragt (T1
            und T2 schalten)
 
          - beide Antworten werden zusammengeführt (T3
            schaltet)
 
          - Beschwerde wird akzeptiert (T4 schaltet)
            
              - von den zwei aktivierten Transaktionen T4, T5
                wurde T4 ausgewählt
 
            
           
          - Kunde wird bezahlt (T6 schaltet)
 
          - Vorgang wird abgelegt (T8 schaltet)
 
        
       
      - Notation von Simulationsläufen:
        
          -  Zustand Z des Petrinetzes = Belegung der
            Stellen
            
              - bei einfachen Netzen reicht Liste der Stellen mit
                Marken
 
            
           
          - Darstellung einer Transition
            
          
 
          - damit sequenzieller Ablaufplan
            
          
 
          - bei unabhängigen Prozessen (im Beispiel T1/T2)
            Reihenfolge wählen
 
          - Beispiellauf damit etwa
            
          
 
          - Unabhängigkeit von T1/T2 hier nicht darstellbar
 
          - genauere Notation: verteilter Ablaufplan (distributed
            run) [L6]
 
        
       
      - Mathematisches Modell eines einfachen Petri-Netzes:
        
          - gegeben durch 4 Größen (P, T, F, M0)
            
              - P = Menge der Stellen
 
              - T = Menge der Transitionen (mit P ∩ T =
                ∅)
 
              - F ⊆ (P X T) ∪ (T X P) = Menge der Kanten
 
              - M0: P → {0,1} = Anfangsbelegung
                der Stellen (Markierung)
 
            
           
          - für Transition t ist
            
              - •t = {p | (p, t) ∈ F} (Prästellen
                von t)
 
              - t• = {p | (t , p) ∈ F } (Poststellen
                von t)
 
            
           
          - Markierung M: P → {0,1} = aktuelle Belegung der
            Stellen
 
          - Transition t ist aktiviert, wenn
            
              - M(p) = 1 für alle p ∈ •t
 
              - M(p) = 0 für alle p ∈ t•
 
            
           
          - Schaltvorgang einer aktivierten Transition t
            ändert Markierung M zu M' gemäß
            
          
 
          - Anmerkung
            
              - Was ist, wenn p zu •t und zu t•
                gehört?
 
              
 
              - Dann kann t nicht aktiviert sein!
 
            
           
        
       
      - Verallgemeinerungen:
        
          - mehr als ein Token pro Platz möglich
            
          
 
          - mehr als ein Token fließt ab bei Transition
            
          
 
          - Transition t aktiviert ↔
            
              - alle Prästellen von t enthalten
                genügend Marken (gemäß Kanten zu t)
 
              - UND alle Poststellen von t haben noch Platz
                für Marken (gemäß Kanten von t)
 
              
 
            
           
          - Transitionen brauchen Zeit zum Schalten
            
              - pro Transition festgelegt
 
              - alternativ stochastisch
 
            
           
          - Marken haben Zusatzeigenschaften ("Farben")