Modellierung einer Schule
    
      - Grundprinzip:
        
          - Zustandsgrößen x(t) ändern sich in
            festen Zeitabständen ti (getaktet)
            
              - tn = n Δt, n = 0, 1, 2, ...
 
              - Größe des Zeitschritts (Sample
                  time) Δt
 
            
           
          - Verhalten der Zustandsgrößen xn
            ≡ x(n) nicht durch DGLs beschrieben, sondern z. B. durch
            Entwicklungsgleichungen
            
              - x(n+1) = f(n, x(n)), n = 0, 1, 2, ...
 
              - Startwert x(0) gegeben
 
            
           
          - häufig hängt f nicht vom aktuellen
            Zeitschritt n ab (zeitunabhängig)
 
        
       
      - Beispiel "Schülerzahlen einer Oberstufe":
        
          - Zahl der Schüler x11, x12,
            x13 in Klassen 11, 12, 13
 
          - ändern sich in jedem Jahr durch
            
              - Zugang xin in der 11. Klasse
 
              - Zahl der Wiederholer, Anteil W11, W12
                etc.
 
              - Zahl der Abbrecher, Anteil A11 etc.
 
              - Zahl der versetzten Schüler vom letzten Jahr
 
            
           
          - insgesamt beschrieben durch die Gleichungen
            
          
 
          - Zahl der Abiturienten gegeben durch
            
          
 
          - genaue Bedeutung
            
              - x11(k) = Klassenstärke zu Beginn
                des Schuljahres k
 
            
           
          - Fragestellungen
            
              - Wie groß sind die (voraussichtlichen)
                Klassengrößen?
 
              - Wieviele fertige Abiturienten gibt es jedes Jahr?
 
            
           
        
       
      - Modellierung in Simulink:
        
          - zentraler Block: Discrete/Unit
              Delay
            
              - verzögert Wert um einen (diskreten)
                Simulationsschritt
 
              - übernimmt Rolle von Integralblock ("1/s")
                bei kontinuierlichen Systemen
 
              
 
            
           
          - Parameter von Unit Delay
            
              - Initial condition =
                Startwert x(0)
 
              - Sample Time =
                Schrittweite
 
              - besser: Sample Time =
                -1 und Wert im Solver vorgeben
 
            
           
          - Simulationsparameter
            
              - Solver type: Fixed-step
 
              - Solver: discrete (no continuous
                  states)
 
              - Fixed-step size: 1 ("ein
                Jahr")
 
            
           
          - Komplettmodell schule1
            
          
 
          - Anzeige der Klassenstärken xN(k) und
            der Zahl der Abiturienten xabi(k)
            
          
 
        
       
      - Darstellung der Ergebnisse:
        
          - Style = Auto (hier = Stairs)
            
              - liefert durchgängige Kurven, x(k) hat
                konstanten Wert für k ∊ (n, n+1)
 
              - welcher Wert gilt an der Sprungstelle?
 
            
           
          - Style = Stem
            
              
 
              - präziser, x(k) nur definiert für k
                ganzzahlig
 
              - oft unübersichtlich
 
            
           
          - Style = Stairs + Marker
            
              
 
              - häufig guter Kompromiss
 
            
           
          - sinnvolle Darstellung schützt vor
            Fehlinterpretation der Ergebnisse!
 
        
       
      - Übersichtlichkeit durch Hierarchien von Komponenten:
        
          - Problem
            
              - schule1 ist komplex und
                unübersichtlich
 
              - Blockstruktur wiederholt sich für jede
                Schulklasse
 
            
           
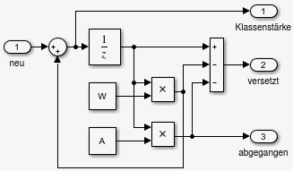
          - Lösung: eigener Block KlasseB
            zur Beschreibung einer Klasse
 
          - Eingang
            
              - I = Zahl neuer Schüler (aus unterer Klasse)
 
            
           
          - Ausgänge
            
              - K = Klassenstärke (zu Beginn des
                Schuljahres)
 
              - V = Zahl der versetzten Schüler (der vorigen
                Klasse!)
 
              - A = Zahl der abbrechenden Schüler (der
                vorigen Klasse!)
 
            
           
          - fertiges Submodell
            
          
 
          - Maske erstellen mit
            
              - Parameter für Wiederholer- und Abbrecherrate
                sowie Anfangsstärke
 
              - Icon und Beschriftung der Anschlüsse
 
              - Hilfstext
 
            
           
          - eigene Block-Library discSimLib
            für neuen Block (und weitere)
            
              - Gesamtmodell enthält nur einen Verweis
 
              - Änderung des Bibliotheksblocks aktualisiert
                alle Instanzen
 
            
           
          - Gesamtmodell schule2
            
          
 
          - Zahl der Abgänger wird nicht verwendet
            
              - erzeugt Warnungen im Matlab-Fenster
 
              - unterbinden mit Terminator-Block
 
            
           
        
       
      - Mathematische Beschreibung des Blocks KlasseB:
        
          - definiere Zustandsgröße z(k) als Ausgang
            des Unit Delay-Blocks zur Zeit k
 
          - Parameter W, A durch Maske gegeben
 
          - Eingangswert I(k) zur Zeit k
 
          - Berechnung des nächsten Zustandswerts
            
          
 
          - Berechnung der Ausgangswerte