Ausgeglichene Bäume
-
Verfahren zum Ausgleichen von Bäumen:
- Ziel: Höhe wächst mit O(log(n))
-
zwei Grundverfahren
- Umbauen der Zweige beim Einsortieren (z.B.
AVL-Bäume)
- zusätzliche Information im Knoten, Knoten mit
mehr Zeigern (z.B. B-Bäume)
- vielfältige Anwendungen, z.B. Indizierung von
Datenbanken
-
AVL-Bäume:
- binärer Suchbaum
- Höhe von linkem und rechtem Zweig jedes Knotens
höchstens um 1 verschieden
- benannt nach G. M. Adelson-Velskii und E. M.
Landis
-
einfache Operationen (wie beim normalen Binärbaum)
- Ausgeben des Baums
- Suchen nach einem Element
-
komplizierte Operationen
- Einfügen eines Elements (s.u.)
- Löschen eines Elements (ähnlich zum
Einfügen)
-
Beispiel für AVL-Baum
-
kein AVL-Baum
-
Einfügen eines neuen Elements:
- zunächst wie beim Sortierbaum einhängen
- vom neuen Element aus nach oben unbalanzierten
Knoten (Differenz > 1) suchen
-
zwei Möglichkeiten
-
zu tiefer Teil ist über links-links oder rechts-rechts zu
erreichen ("außen schwer")
-
zu tiefer Teil ist über links-rechts oder rechts-links zu
erreichen ("innen schwer")
-
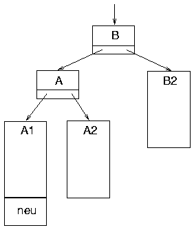
Ausgleich bei außen schwerem Teilbaum ("einfaches Rotieren" R)
-
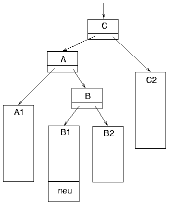
Ausgleich bei innen schwerem Teilbaum ("doppeltes Rotieren" DR)
-
Beispielfolge 4 5 7 2 1 3
-
Implementierung eines AVL-Baums:
-
AVLKnoten
- enthält zusätzlich Balance = h(rechts) -
h(links)
-
AVLBaum
- toString, suchen etc.
wie beim Sortierbaum
-
Methoden rotiere und rotiereDoppelt
- jeweils in zwei Versionen (linksrum,
rechtsrum)
- verbiegen nur Zeiger
- bestimmen neue balance-Werte der veränderten Knoten
- geben Zeiger auf das neue Wurzel-Element
zurück
-
Methode einfuegen
- sucht rekursiv geeignete Stelle und fügt unten
neues Blatt an
- rekursive Aufrufe setzen rebalance, wenn Ungleichgewicht auftreten
könnte
- rebalance gesetzt
→ Ausgleichen
- Ausgleich durch Rotation oder einfach durch
Korrektur von balance-Werten
-
Aufgaben: