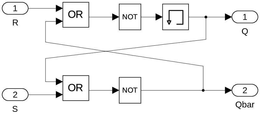
Example 1: RS Flip-flop (2)
Extended Model:
include a small delay
using Memory block from library
works without additional parameters
problem
actual delay depends on solver behaviour
better solutions available