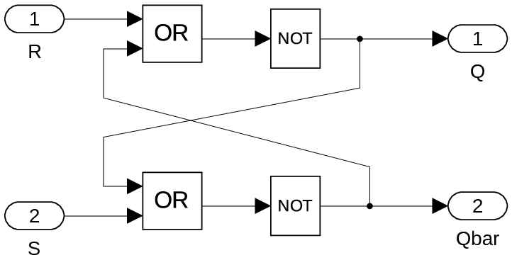
direct implementation using OR and NOT gates from
library
additional input and output elements
run →
Error: Cannot solve algebraic loop involving
'rsflipflopA/RS flip-flop/Or2' because it consists of blocks
that cannot be assigned algebraic variables ...
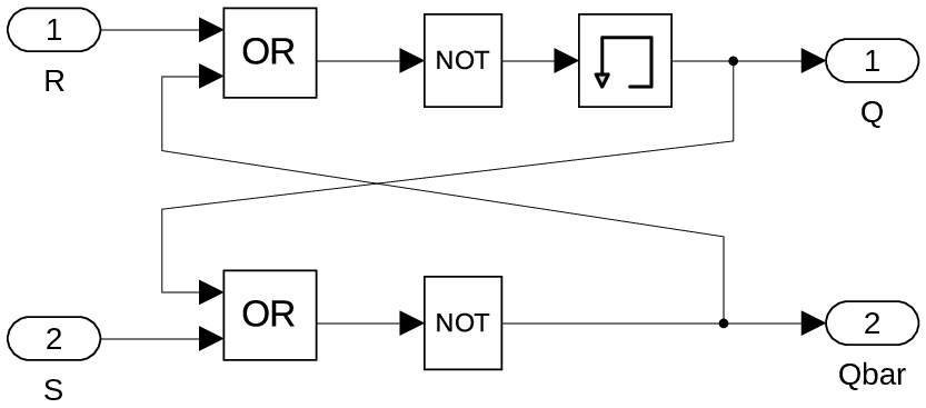
Consider breaking the algebraic loop. For example, add a delay
or a memory block to the loop ...
Mathematical problem:
S = R = 0 → two possible values for Q/Qbar
Reality check:
initial value for 0/0 is random, but consistent
transport of physical signals needs time!
different delays in components (transistors) → one
output "wins"
complex details (inhomogenities in semiconductor
crystals)