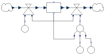
Population models
- Basic model:
- stock describes size N of population
- number of births and deaths proportional to N
- rates g, t in ConstantConverter
blocks
- products with Mult2Flow
blocks
- model population1
- start with N(0) = 10
- result for g = 0.03, t = 0.01: exponential growth
- Limited growth:
- scarcity of resources → death rate grows for large
population
- approach: death rate proportional to N
- implement equation with MultPower3Converter
- out = in1k1 * in2k2 * in3k3
- N: in1 = stock.out1, k1 = 1
- tb: in2 = 0.01 (coming from ConstantConverter),
k2 = 1
- Nb: in3 = 50 (coming from ConstantConverter),
k3 = -1
- complete model population2
- result
- change plot range with plot setup to [0, 150]

- Fixed capacity:
- changes in population3
- death rate stays constant for small N
- N has upper limit Nk
- idea
- no predefined converter for this formula
- replace MultPower3Converter
by CapacityConverter using Modelica code
- block CapacityConverter
extends
SystemDynamics.Interfaces.GenericConverter3;
equation
out1 = in2/(1 - in1/in3);
end CapacityConverter;
- create new component
- in OpenModelica: File/New/New
Modelica Class
- Name: CapacityConverter
- Extends: SystemDynamics.Interfaces.GenericConverter3
- Insert in class: SystemDynamicsExamples.AuxComponents
- set Nk = 225
- result
- similar to previous version

- "curve fits data" does not imply "model mechanism is
correct"!