Statistical analysis
- Decentral concept of TBM
- → no central collection instance
- block statistical data often not sufficient
- Workaround
- collect data in entities
- final statistics component at the end of the entity
path
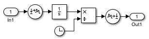
- Statistics components

- atomic subsystems with 1/z block as accumulator
- Computing time averages

- using continuous time domain
- If necessary
- create report using Matlab