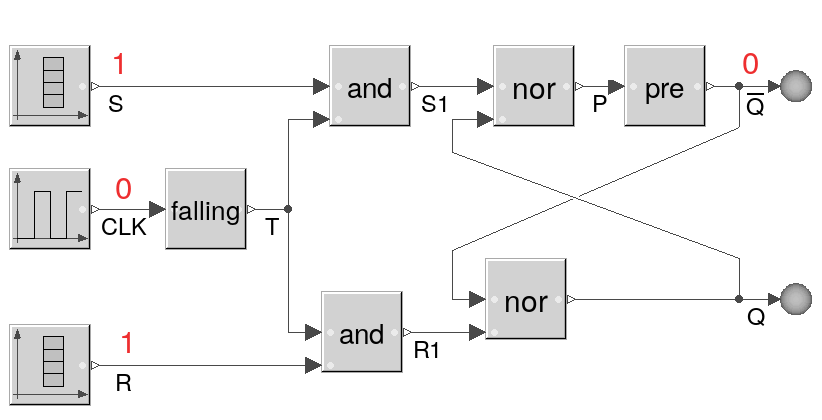
Understanding the triggered RS flip-flop
t
S
R
CLK
T
S1
R1
P
Q
10.5
-
1
1
1
0
0
0
0
1
0
10.5.a
1
1
0
1
1
1
0
0
0
10.5.b
1
1
0
0
0
0
0
1
0
10.5
+
1
1
0
0
0
0
0
1
0
Walking the loop
S, R, CLK are given externally
is the last value of P
compute all other values
anything changed → new event iteration
Reason for unexpected behaviour
t = 10.5.a → "correct" output Q =
= 0
but another iteration of the event loop follows - with T = 0
this changes Q back to 1