Implementation - Nothing is simple
- Finite differences:
- numerical solution based on DeRaedt's algorithm
- starting point: discrete version of
∂x2 to 4th order
- PML-enhanced Schrödinger equation → discrete
version of

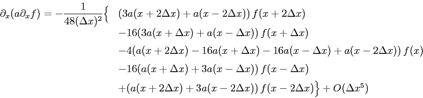
- where

- one possible solution
- how can one find it?
- general ansatz containing 25 terms
- symmetry Δx → -Δx ⇒ 13
terms
- expand it into a taylor series and compare to the
desired result (MuPad)
- → singular linear system for the
coefficients
- systematical scan of its solution space with Matlab
→
- 43 formulae with 13 terms
- 15 formulae with 12 terms
- no shorter ones
- Performance considerations:
- problems
- complicated formula
- coefficients a(x+nΔx) are depending on x
- bad for DeRaedt algorithm
- number of grid points has to be enlarged,
typically by factor 2
- first implementation: 22x slower than non-PML
version
- hard work
- extensive caching of intermediate results
- fast library for submatrix computations
- optimisation of memory accesses
- result: 3.3x faster
- 6.5x slower than non-PML version
- factor 2 already due to larger grid